
הצגת המוצר
| Decanoyl/octanoyl-glycerides מידע בסיסי |
| מקורות תיאור |
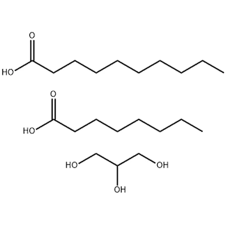
| שם מוצר: | דקאנויל/אוקטנויל-גליצרידים |
| מילים נרדפות: | טריגליצריד קפרילי/קפרי, תמצית שרף CoMMiphora Mukul;2-הידרוקסי-3-(אוקטנואילוקסי)פרופילדקנואט;1-הידרוקסי-3-(אוקטנואילוקסי)פרופן-2-יל דקנואט;טריגליצריד ,רטינול מחומן; טריגליצרידים בינוניים שרשרת (MCT); אסטר חומצה דקאנואית עם 1,2,3-propanetriol octanoate;decanoyl/octanoyl-glycerides;Octanoic/decanoic triglyceride |
| CAS: | 65381-09-1 |
| MF: | C21H44O7 |
| MW: | 408.58 |
| EINECS: | 265-724-3 |
| קטגוריות מוצרים: | תוסף מזון/קוסמטיקה;65381-09-1 |
| קובץ מול: | 65381-09-1.mol |
![]() |
|
| Decanoyl/octanoyl-glycerides מאפיינים כימיים |
| צְפִיפוּת | 0.94-0.96 |
| LogP | 3.965 (מוערך) |
| מערכת רישום החומרים של EPA | גליצרול אוקטנואט דקנואט (65381-09-1) |
| מידע מאובטח |
| מידע MSDS |
| שימוש וסינתזה ב-Decanoyl/octanoyl-glycerides |
| תיאור | Decanoyl/octanoyl-glyceride הוא חומר קוסמטי שימושי כחומר מרכך, חומר מיסוך, חומר בישום, מיזוג עור וממיסים. כטרי-אסטר מרכך רווי מלא, מומלץ כחלופה לשמנים מינרליים או צמחיים במגוון רחב של יישומי טיפול אישי ותרופות. כטריגליצריד רווי מלא, הוא מרכך קל עם סיכה טובה. זהו גם ממס מצוין עבור מסנני קרינה כימיים וחומר הרטבה עבור מסנני קרינה פיזיים1-4. |
| מקורות |
http://www.thegoodscentscompany.com/data/rw1306031.html https://books.google.com/books?id{{0}}pKrBNbkE2c0C&pg=PA340&lpg=PA340&dq=65381-09-1&source=bl&ots{{9 }}FjOJzUjeH&sig=xXGZ85qWsuCTz2KUn-W_-3fe5vE&hl=zh-CN&sa=X&ved=2ahUKEwiPtseh_-HcAhXWWFogIADYA{4FEATABYA{4FEATABYG http://www.perflavory.com/docs/doc1306031.html https://www.ingredientstodiefor.com/files/CCT%20MSDS.pdf |
| שימושים | Decanoyl/octanoyl-glycerides נמצא בשימוש נרחב בשמן קרם הגנה, קרם ותחליב; קרם ותחליב הגנה לאחר השמש; משמש בשמן לשינוי שיער, קרם ושמן ראש, שיכול להפוך את השיער מבריק, חלק וקל לסירוק; שמן אמבט; שמן לטיפוח העור ותמיסת תזונה. הוא גורם לעור להיות משומן ומבריק, והתזונה נספגת בקלות בעור, מה שמשחק תפקיד טוב מאוד בקוסמטיקה האחידה והעדינה. |
| Decanoyl/octanoyl-glycerides מוצרי הכנה וחומרי גלם |
| חומרי גלם | Octanoic acid-->חומצה דקאנואית |
תגיות פופולריות: decanoyl/octanoyl-glycerides, סין decanoyl/octanoyl-glycerides יצרנים, ספקים, מפעל
אולי גם תרצה
שלח החקירה








